3月16日,Nature旗下期刊Scientific Reports 在线发表了beat365特聘教授张大为博士的两篇文章,题目分别为“Quantum mechanical calculation of nanomaterial-ligand interaction energies by molecular fractionation with conjugated caps method”和“Application of conventional molecular dynamics simulation in evaluating the stability of apomyoglobin in urea solution”。

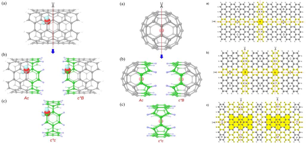
在第一篇文章中,张博士将之前发展的分子碎片共轭帽(MFCC)方法扩展到纳米管,富勒烯和石墨烯体系,将组成材料的碎片作为基本的分块单位,进行高水平的量子计算,计算精度上与全体系结果相比误差很小,同时可以实现大规模的并行计算。该方法在过去十年已经被高效精确地应用到生物大分子的研究中,并于2012年同时被美国化学学会顶级刊物Chemical Review (112, 632, 2012) (影响因子46.57)和英国皇家化学学会顶级刊物Chemical Society Review (41, 3821, 2012) (影响因子33.38)的综述文章大篇幅报道。
相关论文见http://www.nature.com/articles/srep44645